・大手スーパーが“戦後最悪”の倒産…負債1.6兆円、一般人も大損の被害
2008年9月15日、100年に1度ともいわれる金融危機「リーマンショック」が起こります。全く投資をしない人でも耳にするほど有名ですが、事件から14年たつこともあり、何が起こったのか知らないという人も増えてきているでしょう。
今日は未曽有の金融危機、リーマンショックについて解説します。
負債66兆円という桁違いの破綻
リーマンショックは、アメリカの金融大手「リーマン・ブラザーズ」の破綻に伴い、世界的な金融不安が起こった事件です。
当時のアメリカではサブプライムローン(信用力が低い相手へのローン)の証券化商品が多く販売されていました。しかし地価の下落やローンの返済率悪化などが起こり、サブプライムローン関連商品は価格が大きく下落します。リーマン・ブラザーズはサブプライムローン関連商品を多く抱えていたため、損失に耐えられなくなり、ついに破綻します。
リーマン・ブラザーズが破綻したときの負債は約6300億ドル、当時のレート(およそ1ドル=105円)で換算すると約66兆1500億円にもなりました。これは日本の戦後最大の破綻企業「協栄生命保険」(破綻時の負債額:4兆5296億円)の約14.6倍です。
アメリカを震源地とするショックは世界に波及し、日本の景気も冷え込みました。名目GDP成長率は2008年度に-4.1%、翌年度も-3.6%と大幅な下落を記録します。
【日本の名目GDP成長率】
・2007年度:+0.2%
・2008年度:-4.1%(リーマンショック)
・2009年度:-3.6%
出所:内閣府 経済社会総合研究所 国民経済計算(GDP統計)
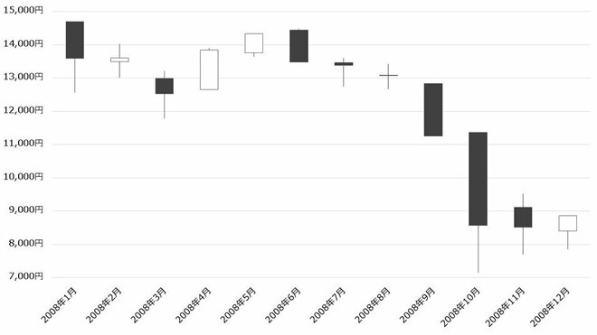
大手金融機関の破綻に対し、株式市場は急落しました。日経平均株価は2008年9月に1万2000円を割り込み、翌月も続落し一時7000円台まで下落します。株式の急落は世界的に発生し、2008年のリターンは多くの地域でマイナスになりました。
【2008年の日経平均株価(月足)】
【2008年のリターン】


